学校首页
加入收藏
设为首页
网站首页
星空彩票官网下载app
专业导航
报考指南
招生咨询
历年分数
录取查询
政策文件
联系我们
学校首页
星空彩票官网下载app
专业导航
报考指南
招生咨询
历年分数
录取查询
政策文件
联系我们
提前招生
当前位置 :
招生网
>
提前招生
>
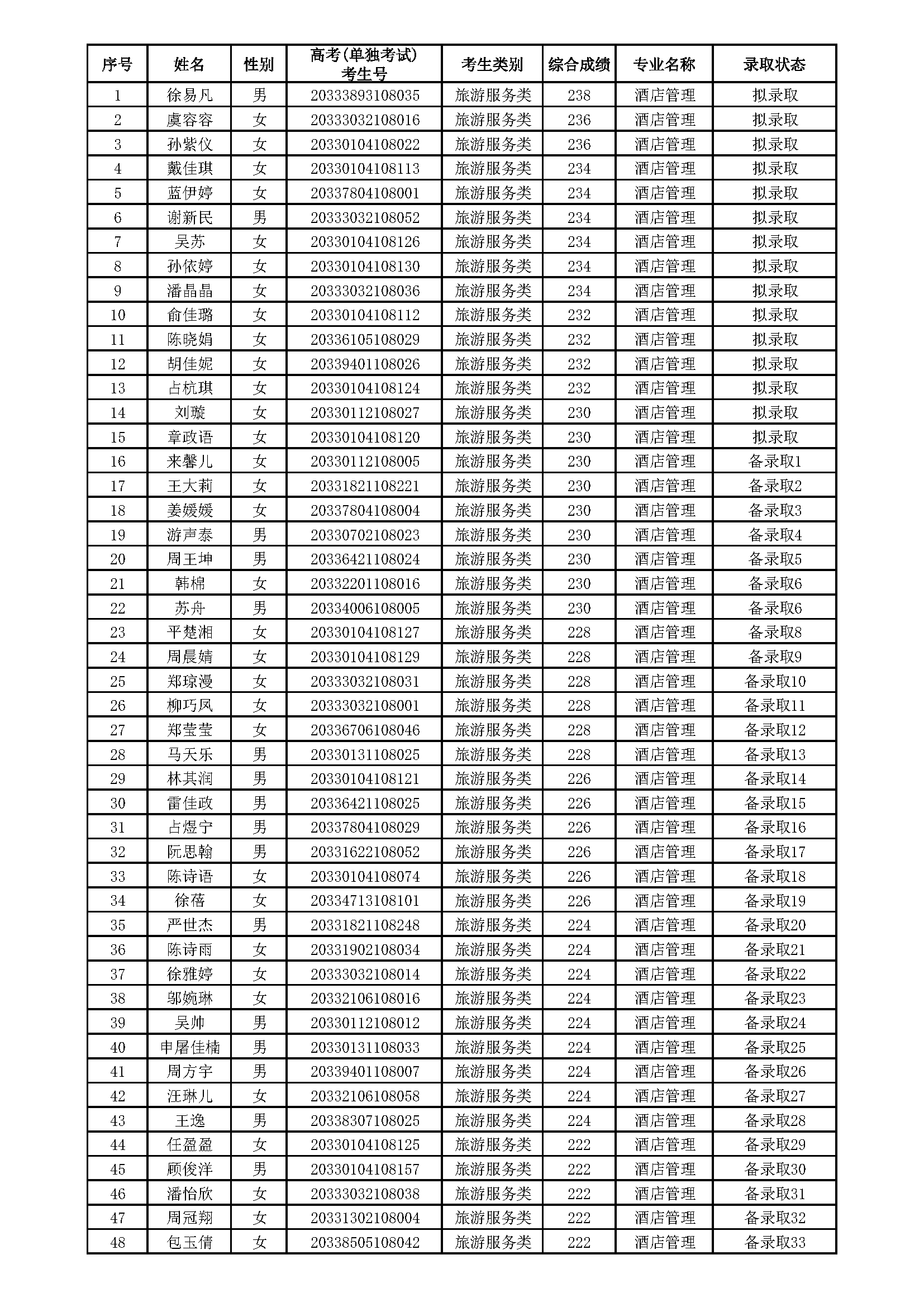
浙江育英职业技术学院2020年提前招生(酒店管理专业)拟录取、备录取考生名单
发布时间 :
2020-06-09 14:07:25
点击:
版权所有 © 浙江育英职业技术学院招生网
技术支持:亿校云
地址:杭州市钱塘区4号大街16号
电话:0571-86911032、86877189 邮箱:yyzhaob@126.com
map