提前招生

当前位置 : 招生网> 提前招生>

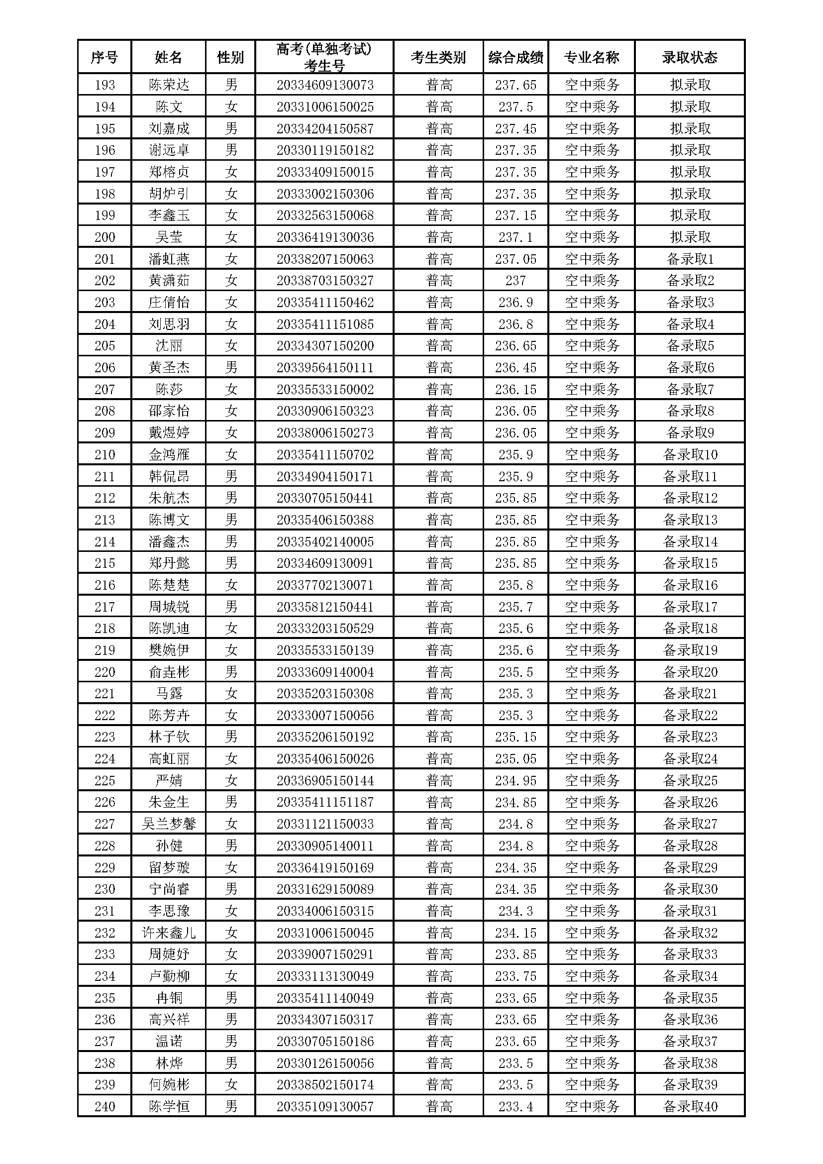
浙江育英职业技术学院2020年提前招生(空中乘务专业)拟录取、备录取考生名单

发布时间 : 2020-06-09 14:00:21点击:





















地址:杭州市钱塘新区(下沙)四号大街16号
电话:0571-86911032、86877189
邮箱:yyzhaob@126.com
版权所有:浙江育英职业技术学院招生网
技术支持: 亿校云
版权所有 © 浙江育英职业技术学院招生网
技术支持:亿校云
地址:杭州市钱塘区4号大街16号
电话:0571-86911032、86877189 邮箱:yyzhaob@126.com
Baidu
map