学校首页 加入收藏 设为首页

提前招生

当前位置 :  招生网 > 提前招生 >

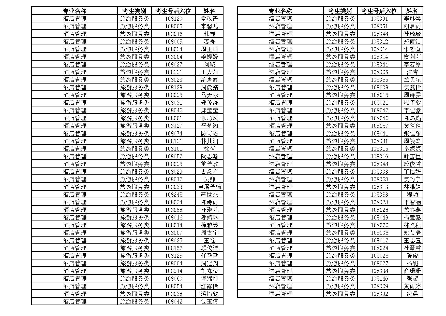
2020年高职提前招生人物形象设计专业、酒店管理专业同类别同位次考生测试视频报送要求

 发布时间 : 2020-06-05 05:23:47      点击:
    
    点击进入视频报送系统




地址:杭州市钱塘新区(下沙)四号大街16号
电话:0571-86911032、86877189
邮箱:yyzhaob@126.com
版权所有:浙江育英职业技术学院招生网
技术支持:亿校云
版权所有 © 浙江育英职业技术学院招生网
技术支持:亿校云
地址:杭州市钱塘区4号大街16号
电话:0571-86911032、86877189 邮箱:yyzhaob@126.com
Baidu
map